关键词代发包收录第一蜘蛛池

微信怎么引流加好友?利用知乎添加精准流量

 微信怎么引流加好友?知乎是个问答平台,每个问题,都会有大量干货解答。今天分享利用知乎添加精准流量,知乎和百度知道一样,客户非常精准。越来越多的变现大神们在知乎进行引流。
作为问答平台,一句话概括知乎的引流方式是:通过优质的回答内容曝光在问题首页,从而留下联系方式达到引流效果。

000.png

知乎引流是相对比较简单。

具体操作如下:想让你的回答得到更多的曝光,必须有更多的点赞、感谢加持。所以可以通过买赞的方式。买赞有很多渠道,QQ群、淘宝等方式。

111.png

 

222.png

 

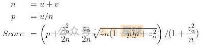
如果你想更快捷更方便的引流到大量粉丝,你就要了解平台的一些算法,正所谓知己知彼,百战不殆。知乎的算法是来源威尔逊公式。

 

333.png

 

是不是看不懂,那就对了。这个公式一句话概括是:点赞越多越好、反对越少越好。大V点1次赞=十几个甚至几十个小号点赞。这样排名才会靠前。所以说可以找大V帮你赞同你的回答,可以找朋友或者有偿的方式去让你的答案排名靠前。


最后一种方法是自己养大量的小号,养1个月后,可以分批次对你的大号进行答案点赞。账号可以去账号批发网购买,一个账号价格是2元左右。最重要的事是一定要换IP操作,要不然那些号基本都会被封,要注重细节!

说通过互联网争取信息差,就是挣钱,没错,你们很好的给知友们上了一堂课!!!把闲鱼1-2块能买到的教程40-50卖给知友,暴利99.99%吧。答案那么多赞,引流挺厉害,一天卖100个。100×50 一天5000块,难怪你一个月说能挣好几万块!


写一些优质的通过互联网挣钱的答案,引流到微信,卖教程一个月5W以上没问题,这就是我知道的目前最暴利的行业!